2. القصور الدوراني

القصور الدوراني

تعريف القصور الدوراني

القصور الدوراني هو مقاومة الجسم للقوة التي تحاول إحداث تغيير في حالة حركة الجسم الدورانية، ويُرمز له بالرمز I.

نفرض أنه لدينا جسم نقطي كتلته m يتحرك حركة دورانية في مسار دائري نصف قطره r فإن القصور الدوراني يمكن حسابه من خلال العلاقة التالية:

I = m * r 2

وهو مقدار موجب دائمًا. وكذلك هو كمية قياسية وليست متجهة.

وحدة قياس القصور الدوراني

من معادلة حساب القصور الدوراني يمكن استنتاج أن:

وحدة قياس القصور الدوراني =  وحدة قياس الكتلة × مربع وحدة قياس المسافة

أي أن:

وحدة قياس القصور الدوراني =  كجم × متر 2، أو بالرموز: kg.m2.

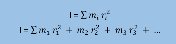
القصور الدوراني لمجموعة من الأجسام

القصور الدوراني لمجموعة من الأجسام التي تتحرك حركة دورانية هو المجموع الجبري لحاصل ضرب كتلة كل جسم في مربع نصف قطر الدائرة، أي أن:

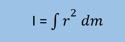
القصور الدوراني لجسم صلب كبير

يتم حساب القصور الدوراني للجسم الصلب الكبير مثل (الكرة، الأسطوانة الدائرية، سلك رفيع، .. إلخ) عن طريق حساب التكامل كما يلي:

والجدول التالي يبين نتيجة حساب القصور الدوراني لبعض الأجسام الشائعة في المسائل:

الجسممحور الدورانالقصور الدوراني I
سلك رفيع طوله Lعمودي على السلك عند الطرف1/12 ML2
عمودي على السلك عند المركز1/3 ML2
طوق نصف قطره Rيمر من المركز في مستواه1/2 MR2
يمر من المركز عموديًا على مستواهMR2
قرص رقيق مصمت نصف قطره Rيمر من المركز في مستواه1/4 MR2
يمر من المركز عموديًا على مستواه1/2 MR2
كرة صلبة مصمتة نصف قطرها Rأي قطر فيها2/5 MR2
قشرة كروية رقيقة نصف قطرها Rأي قطر فيها2/3 MR2
أسطوانة مصمتة قائمة نصف قطرها R وطولها Lمحورها الطولي1/2 MR2

مثال (1)

وُضع جسمان نقطيان كتلتاهما (5 kg)، (7 kg) على بعد (4 m) على ساق معدني خفيف مهمل الوزن، كما في الشكل التالي. احسب القصور الدوراني للنظام في حالة:

  1. عندما يدور حول محور في منتصف المسافة بينهما
  2. عندما يدور حول محور يبعد مسافة (0.5 m) إلى يسار الجسم الذي كتلته (7 kg).
القصور الدوراني

الحل

  1. الحالة الأولى:

I = m1 * r1 2 + m2 * r2 2

I = 5 × (2)2 + 7 × (2)2 = 48 kg.m2

  • الحالة الثانية:

I = m1 * r1 2 + m2 * r2 2

I = (5) × (0.5)2 + 7 × (4.5)2 = 143 kg.m2

error:
Scroll to Top